基于 DEA 模型的新质生产力与跨境电商融合赋能现代农业高质量发展研究论文
2025-12-19 10:22:50 来源: 作者:xuling
摘要:近年来我国农业取得了显著成就,但农业生产效率水平仍有待提升,面临着资源利用效率不高、生产方式相对落后、环境污染加剧等一系列挑战。
摘要:近年来我国农业取得了显著成就,但农业生产效率水平仍有待提升,面临着资源利用效率不高、生产方式相对落后、环境污染加剧等一系列挑战。这些问题不仅制约了农业生产力的进一步提升,也影响了农业可持续发展的潜力释放。文章采用DEA-BCC模型,选取2012—2022年全国代表地区农业机械总动力、邮政业务总量、电信业务总量、农村宽带接入用户4个农业投入指标和农业总产值1个产出指标,构建新质生产力与跨境电商赋能现代农业高质量发展的评价指标体系,对农业投入产出效率进行分析。这一研究对于推动农业现代化进程、实现乡村振兴具有重要意义。
关键词:新质生产力;DEA-BCC模型;跨境电子商务;农业现代化;农业投入产出效率
随着信息技术、生物技术、智能装备等高新技术的融合应用,农业生产正逐步向精准化、智能化、绿色化方向迈进,为现代农业高质量发展提供新动力。研究新质生产力如何赋能现代农业高质量发展,对于推动农业现代化进程、实现乡村振兴具有重要意义。其中,农文旅康作为重要的融合业态,其发展离不开现代化、高效化的农业生产体系作为支撑。因此,评估农业投入产出效率,对夯实旅居康养产业基础具有重要意义。近年来,随着农业现代化的推进,数据包络分析(DEA模型)也逐渐应用于农业生产效率评价,为农业生产提供了新的评价工具,可以有效评估投入要素的利用效率[1-2]。
一、新质生产力赋能现代农业高质量发展现状
(一)我国农业机械总动力与农业生产效率
由图1可知,2018—2023年我国农业机械总动力整体呈上升趋势,2023年我国农业机械总动力已达到11.37亿千瓦,较去年增加2.8%。2023年大型拖拉机551.09万台,配套农具550.99万部。

据农业农村部农业机械化管理司统计,2023年我国农业机械化率达到74.29%,机耕率、机播率、机收率也分别达到了较高水平,分别达到86.92%、63.72%、68.02%。表明我国农业机械化的快速发展,农业机械拥有量的不断增加为农业生产效率的提高提供了有力保障。

(二)互联网主要指标发展情况与农业生产效率
由图2所示,截至2023年底,我国农村宽带用户总数达1.92亿户,全年净增1 557万户,同比增长8.8%,增速较城市宽带用户高1.3个百分点。数字技术创新能力持续提升,数据要素价值备受重视,为互联网产业的发展注入了新的活力。例如,通过卫星遥感、无人机巡航、物联网等技术手段,实现了对农田环境、作物生长状况的实时监测和数据分析,农民能够自主完成耕作、播种、施肥、收割等作业任务,降本增产。

根据图3数据可知,2023年电信业务收入累计完成1.68万亿元,比上年增长6.2%。按照上年价格计算的电信业务总量同比增长16.8%,为信息传递提供了更高效、更广泛的途径,对于农业生产中的信息流通具有重要意义。农民可以通过互联网、电话等方式获取市场价格、作物种植技术、农产品销售渠道等信息,从而做出更合理的种植决策,提高农业生产效率。
二、模型构建
(一)模型选择
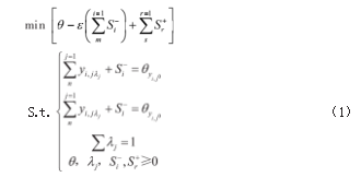
DEA作为一种非参数分析手段,可对农业生产过程中原始的投入产出数据进行效率测算[3]。结合Banker,采用投入导向型规模报酬可变的DEA-BCC模型(以下简称DEA模型),运用DEAP 2.1软件对原始投入—产出数据评价我国农业生产效率,构建模型如式(1)所示。

式中n为决策单元个数,每个决策单元有m个输入变量和s个输出变量;yi,j为第j个决策单元第i个输出指标值;yi,j0为第j0个决策单元第i输出值;λj为输入和输出权重;θ为决策单元有效值;Si-、S为输入和输出松弛变量;ε为非阿基米德无穷小量。
(二)变量选取及指标体系构建
参考历年有关新质生产力与跨境电商研究的相关文献,考虑数据的可获得性、来源可靠性等现实情况,构建新质生产力与跨境电商赋能现代农业高质量发展的指标体系。包括投入和产出两个方面的指标,评价内容主要包括纯技术效率、规模效率和综合技术效率。选取农业机械总动力、邮政业务总量、电信业务总量、农村宽带接入用户作为投入指标,产出指标为农业总产值(见表1)。

三、基于DEA模型的新质生产力赋能现代农业高质量发展实证研究
(一)现代农业高质量发展综合技术效率分析
由表2可知,2012—2022年全国部分地区农业高质量发展综合技术效率均值<1,未达完全有效,区域差异显著。均值前列的省份中,黑龙江省在2013年、2021年、2022年效率达1.000,占比33%,平原地形与农机投入助力规模化,机械化生产能够大幅度提高生产效率,减轻农民的劳动强度,有利于实现农业规模化,验证新质生产力对农业高质量发展的推动作用;海南省在2016年、2022年效率达1.000,占比20%,农业模式适配本地资源,新质生产力成效显著。
中等偏上水平的上海2015—2017年效率连续达1.000,现代化与信息化支撑效率;贵州省效率从2012年0.498升至2022年0.765,新质生产力改善效果明显;陕西均值为0.674趋于稳定,新质生产力支撑持续。中等水平的广西效率前高后低再回升,稳定性待提升;天津2012—2013年效率较高,后降至2019年0.349,需强化新质生产力;辽宁省效率波动上升,新质生产力推动显现;湖北省效率持续下降后小幅回升,需优化新质生产力应用。
中等偏下水平的福建省效率前高后低再回升,需稳定新质生产力应用;河南省效率从2012年0.769降至2018年0.378,需结合新质生产力转型;重庆效率波动剧烈,需构建新质生产力驱动稳定机制;山东省呈“升—降—升—降”趋势,2014年、2018年效率较高,需借新质生产力提稳定性;河北省2014—2015年效率较高,后降至2019年0.257,需强化新质生产力支撑;广东省均值0.470较为平稳,需加大新质生产力投入。较低水平的安徽省效率从2012年0.540降至2019年0.234,需新质生产力破瓶颈;江苏省效率从2012年0.468降至2018年0.294,需引入适配新质生产力;江西省均值0.402效率低且平稳,需增加新质生产力投入;吉林省效率从2012年0.623降至2017年0.207,需新质生产力驱动转型;山西省均值为0.364效率低,需强化新质生产力应用;浙江省效率均值极低,仅为0.284,需借助新质生产力革新模式;北京效率均值最低为0.239,因城市定位限制,新质生产力应用空间小。

(二)现代农业高质量发展纯技术效率分析
2012—2022年各地区整体纯技术效率有接近25%的城市均值大于0.9分别为天津、上海、黑龙江、海南、北京,说明这5个城市整体农作物高质量生产投入新质生产力管理维持在较好水平。从整体看,纯技术效率最高的是上海(高于0.95),其次是海南和北京(0.90~0.95)。时间维度层面,2020—2022年纯技术效率明显提高,表明新质生产力在农业领域的应用日益广泛,对提升纯技术效率起到了积极作用。
(三)现代农业高质量发展规模效率分析
2012—2022年全国代表地区农业高质量发展规模效率均值绝大多数大于0.9且趋近于1,说明我国各省整体农产品生产投入规模较为合理。通过均值的排序情况,可以发现各地区的排序情况变化较大。北京连续十年每年排序均为倒数第一,最低值为0.208,最高值也仅为0.293,主要原因是北京传统的农业生产方式仍然占据主导地位,难以实现大规模、高效率的生产。
2012—2022年规模报酬递增的省份有北京、山西,表明了这两个地区农业生产规模呈现扩大趋势,单位产出成本逐渐降低,从而实现了经济效益的显著提升。吉林省则仅有2020年呈现递减状态,其余年份均呈递增状态,提高了农业的经济效益,优化了农业产业链。福建省2012—2016年规模报酬呈现递减状态,2017—2022年规模报酬递增,说明福建省近年来着力于发展农业。广东省作为连续十年保持规模报酬递减状态的省份之一,由于农业机械的使用效率不高、农村宽带接入用户所需的网络基础设施建设滞后,导致信息化资源未能得到充分利用,从而抑制了规模报酬的增长。
四、新质生产力赋能现代农业高质量发展建议
(一)提高生产效率
1.构建合理的农机装备结构
通过DEA模型发现农业机械拥有量与农业生产效率之间存在正相关关系,合理的农机装备结构能够更好地适应不同作物的种植需求,有助于提高农业生产效率。新型农业机械不断涌现,能够更好地适应现代农业生产的需要,使得农业生产更加高效、精准和智能[4]。例如,智能农机装备可以实时获取作物生长信息,根据作物需求进行精准施肥、灌溉和防治病虫害,能够提高农产品的产量和质量,提高农业生产的可持续性和生态性[5]。并且降低生产成本
和风险,有助于增加农民收入。
2.加强农村邮政基础设施建设
邮政业务总量作为连接农产品与市场的重要纽带,其优化策略应着力于服务于农文旅康产业链。针对旅居康养目的地和特色农产品产区,重点提升邮政物流的冷链、时效和个性化服务能力,不仅运输农产品,也服务于康养游客的行李托运、特产邮寄等需求,实现邮政网络向综合服务的功能转型,从而提高其利用效率,即DEA模型中的邮政业务投入指标效率[6]。首先,扩大邮政服务网络,确保农产品能够顺利进入市场,有助于降低农产品运输成本。其次,推动邮政业务与跨境电子商务深度融合,利用现代信息技术手段提升邮政服务水平,为农产品提供更为便捷、高效的物流服务[7]。农民可以依托邮政服务网络获取市场信息,调整种植结构,提高农产品销售收入。最后,加强邮政业务的国际市场营销和品牌建设,提升邮政服务的知名度和美誉度,提高农产品的出口竞争力,吸引更多消费者选择邮政服务。
3.推动跨境电商业务与农业生产的深度融合
首先,加大农村地区电信基础设施建设的投入,推动农村地区电信网络向广覆盖、高带宽方向发展。农民可以更加便捷地获取农业技术、市场信息等,有助于农民科学种植、精准施肥、合理灌溉等,提高农业生产效率。其次,基于跨境电商平台的消费大数据分析,驱动农业生产向智能化与精准化转型。最后,加强电信业务的市场监管和安全管理,确保电信服务的稳定性和安全性。农民可以通过远程教育学习先进的农业技术和管理经验,提高自身素质和生产技能[8-9]。
4.农村宽带接入用户智能化管理
一方面,加强农村宽带网络基础设施建设,着力于提升农村宽带接入的普及率和质量,降低农民使用宽带的门槛和成本。农村宽带接入用户数量的增加使得农民可以利用互联网进行智能化管理。例如,通过智能灌溉系统、智能温室等设施实现精准控制和管理,提高农业生产效率。另一方面,加强农村宽带接入服务的宣传和推广,提高农民对宽带服务的认知度和使用意愿[10]。农民可以通过跨境电子商务平台销售农产品,拓宽销售渠道,提高农产品销售收入,推动农村数字贸易的发展。
(二)优化农产品质量
1.注重农业生产的环境保护
采取科学合理的种植和养殖方式,减少化肥、农药的使用,保护土壤和水源,确保农产品在生长过程中不受到污染。采用生物防治、物理防治等手段减少农药的使用;加强农业废弃物的处理和利用,避免对环境的污染;加强土壤和水源的保护,确保农产品在良好的环境中生长。
2.加强农产品质量监管和检测
企业可以制定严格的质量标准,对农产品进行定期检测和抽查,确保农产品符合国际认证标准。建立农产品追溯系统,从生产源头到销售终端实现全程监管,确保农产品质量可追溯、可控制。这不仅可以提高消费者的信任度,还可以帮助企业及时发现问题并采取措施进行改进。
3.提高农民的质量意识和技能水平
农民是农业生产的主力军,其质量意识和技能水平直接影响到农产品的品质。通过培训和指导帮助农民掌握科学的种植和养殖方法,提高农产品的整体品质。同时,加强农民的质量意识教育,在生产过程中更加注重品质控制。加强农业机械操作人员的培训和教育,提高农机操作水平,确保农业机械的高效、安全使用。
参考文献:
[1]李敏,谷世广.农业生产效率测度及时空分异研究——基于DEA-SBM模型分析[J].农村经济与科技,2023,34(24):4-7.
[2]徐磊.我国调味品企业战略管理实践与理论演进[J].中国调味品,2024,49(8):211-214+220.
[3]丁佳琳,杨宏力.农业机械化服务与农业生产效率提升的内在机理及实证分析[J].农业展望,2022,18(12):30-40.
[4]陈思思,许鸿儒.数字经济、新质生产力与农村产业现代化[J].技术经济与管理研究,2024(9):37-42.
[5]陈江,郭惠武,李笑妍.数字乡村对绿色全要素生产率的影响——基于县级面板数据的实证研究[J].新经济,2023(6):100-110.
[6]王楼艺伟.新零售背景下城市末端物流动态协作博弈分析[J].物流科技,2024,47(6):50-53+57.
[7]杨芸.我国农产品物流效率测度及驱动因素——基于超效率和Tobit模型的实证[J].商业经济研究,2022(24):113-116.
[8]孙亚男,刘燕伟,傅念豪,等.中国新质生产力的增长模式、区域差异与协调发展[J].财经研究,2024,50(6):4-18+33.
[8]董晓娟,赵雅茹.跨境电子商务物流模式的选择研究——基于博弈论组合赋权模型[J].物流科技,2024,47(14):21-27.
[10]高歌,何启志.数字乡村对中国农业现代化效率的空间效应及影响机制[J].农林经济管理学报,2023,22(3):272-282.