数字金融发展对影子银行规模的非线性影响研究论文
2025-11-11 16:34:20 来源: 作者:xuling
摘要:数字金融发展对影子银行规模具有显著的门槛效应:在数字金融发展水平低于门槛值时,其扩张效应显著推动影子银行规模扩大;在超过门槛值后,数字金融的进一步发展则对影子银行规模产生抑制作用。
[摘要]文章基于省级面板数据构建面板门槛回归模型,实证分析数字金融发展对影子银行规模的非线性影响。文章选取北京大学数字普惠金融指数作为数字金融发展水平的度量指标,采用影子银行占国内生产总值(Gross Domestic Product,GDP)的比重反映影子银行规模,同时引入银行业发展水平、利率市场化程度与经济增速等控制变量进行实证分析。实证结果表明,数字金融发展对影子银行规模具有显著的门槛效应:在数字金融发展水平低于门槛值时,其扩张效应显著推动影子银行规模扩大;在超过门槛值后,数字金融的进一步发展则对影子银行规模产生抑制作用。
[关键词]数字金融;影子银行;门槛效应;非线性影响
0引言
2024年12月,中国人民银行发布的《中国金融稳定报告(2024)》指出,“当前,我国影子银行规模总体稳定,信用中介功能、期限转换功能规范有序,杠杆情况平稳可控,较好发挥了对实体经济的支持作用”“影子银行相关长期限产品及业务占比仍然较低,需要关注相关产品和业务的流动性风险管理”。数字金融提升了资金配置效率和普惠程度,可能为实体经济提供更多正规融资渠道,从而替代影子银行功能,但也可能绕过监管,形成新的“类影子银行”业务。鉴于此,本文研究数字金融发展对影子银行规模的非线性影响。
1数字金融发展影响影子银行规模的非线性传导路径
影子银行通常指游离于银行监管体系之外、可能引发系统性风险和监管套利等问题的信用中介体系。与传统银行业务相比,影子银行具有资金来源和投向相对复杂、在监管套利空间下发展较快等特征。
所谓非线性影响,是指数字金融发展对影子银行规模的作用并不呈现单纯线性关系,而会因为数字金融所处的发展阶段、监管环境等因素的不同产生阶段性差异。学者黄益平指出,在早期存在利率管制等金融抑制时,正规金融难以满足部分企业融资需求,这些需求会促使企业转向民间借贷、影子银行和数字金融等非正规金融市场[1]。因此,数字金融发展影响影子银行规模的作用机制的非线性体现为不同发展阶段下正反两方面效应的动态博弈。
一是“补充效应”和“替代效应”。在金融抑制或传统金融服务不足的情况下,数字金融作为新兴融资渠道,可填补正规金融供给缺口,为中小企业和长尾客户提供贷款、理财等服务,从而在早期起到补充正规金融、扩大影子银行规模的作用。在数字金融发展初期,监管制度建设相对滞后,数字金融发展容易游离于监管体系之外,其提供的融资服务实际上属于影子银行范畴,从而推动影子银行规模扩张。
二是“规制效应”和“挤出效应”。随着数字金融的发展和监管框架的完善,数字金融业务逐步被纳入监管范围,透明度和规范性提高,此时数字金融更好地与传统金融融合,为企业提供正规渠道的融资和理财服务,企业更倾向于通过受监管的数字金融渠道获得资金[2]。在此阶段,数字金融的发展可能与影子银行规模呈负相关,即发挥“挤出效应”,通过提供更优质、便捷的正规金融服务,将资金从影子银行体系中挤出并引导回传统金融体系。
综上,本文提出研究假设:数字金融发展对影子银行规模具有“门槛效应”,当数字金融发展水平低于某一门槛值时,数字金融的发展将促进影子银行规模扩大,而当超过门槛值后,数字金融的进一步发展将抑制影子银行规模扩大。这种“前期促进、后期抑制”的双重效应与单纯线性关系相比,呈现出明显的分段特征,故本文将其称为非线性影响。
2研究设计
为检验上述假设,本文选取我国31个省(自治区、直辖市)(不包括香港特别行政区、澳门特别行政区及台湾省)2011—2023年的面板数据构建实证分析模型。核心解释变量为数字金融发展水平(记为DFI),采用北京大学数字普惠金融指数衡量。为保证数据的有效性,本文采用该指数更新的第四期数据(2011—2021年)并外推至2023年。被解释变量为影子银行规模(记为SB),度量一个地区影子银行活动的相对规模。
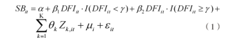
为捕捉数字金融发展对影子银行规模影响的非线性特征,本文采用Hansen提出的面板门槛回归模型进行实证分析。面板门槛回归模型允许数据根据阈值变量的不同区间呈现分段的系数估计,从而检验数字金融影响效应在不同发展阶段是否存在显著差异。面板门槛回归模型公式如下:

式(1)中,下标it表示地区i和年份t;I(·)为指示函数,当括号内条件为真时取1,否则取0;γ为待估计的门槛值,即数字金融发展水平的临界点;β2和β2分别表示数字金融对影子银行的影响系数,在数字金融发展低于门槛值和高于门槛值两个情况下可能不同;Zk,it为控制变量向量,μi为地区固定效应,εit为随机误差项。模型中同时引入地区固定效应μi控制地区不可观察的异质性。检验发现,单一门槛模型相对于线性模型具有显著性,而增加第二个门槛时效应不再显著,故采用单一门槛设定。
3实证结果与分析
门槛效应分析LR统计量显著,高于临界值,上述数字金融发展水平的单一门槛效应成立,说明数字金融对影子银行的影响的确存在显著的分段特征。进一步估计得到的门槛值γ约为180.5(数字普惠金融指数综合得分),在5%水平上显著。门槛水平大致相当于沿海发达地区2015年前后的数字金融发展程度,具有合理性。基于估计的门槛值,将样本划分“数字金融发展低水平组(DFI<γ)”和“数字金融发展高水平组(DFI≥γ)”,并分别估计数字金融对影子银行规模的影响系数。主要回归结果汇总如表1所示。

由表1可以看出,当数字金融发展水平低于门槛值时,数字金融发展对影子银行规模的影响为正向,系数为0.372,在1%水平上显著(标准误0.085)。这意味着在数字金融发展早期,每提高1个单位的数字普惠金融指数,影子银行规模(占GDP的比重)将增加0.372个百分点,表明数字金融的发展显著带动了影子银行规模的扩张。实证结果与前文理论分析一致:数字金融的兴起在初期为融资受限主体提供了额外的非正规融资渠道,促使影子银行规模扩大[3]。相反,当数字金融发展水平高于门槛值时,其对影子银行规模的影响转为负向,系数为-0.154,在5%水平上显著(标准误0.062)。这表明一旦数字金融发展超过一定水平,进一步发展会抑制影子银行规模扩大,每提高1个单位的数字普惠金融指数将使影子银行规模下降0.154个百分点。由此可见,在数字金融高度发展阶段,数字技术与传统金融深度融合并受监管支持,能够拓展正规金融对实体经济的服务覆盖面,从而减少对影子银行的需求,达到前文所述的“挤出效应”。
不同发展阶段的数字金融影响系数的差异在统计上也具有显著性。根据检验结果,β1与β2之差在1%水平上显著不为零,进一步证实影响效应的结构性转变。控制变量方面大体符合预期,银行业发展程度对影子银行规模的影响为负且显著,意味着正规金融供给充裕的地区影子银行占比相对较小。利率市场化程度对影子银行规模的影响为正向且显著,表现为利率市场化程度较低、存在利差套利空间时,影子银行更容易发展。经济增速对影子银行规模的影响不显著,可能是因为宏观经济波动通过影响影子银行供需两方面,综合作用相互抵消。
以上实证结果验证了前文提出的研究假设:数字金融发展对影子银行规模的影响随着数字金融的发展程度不同而呈现出先促进后抑制的非线性特征。研究也在一定程度上解释了现实中不同研究结论不一致的原因,即数字金融与影子银行的关系取决于所处的发展阶段和监管环境。笔者将样本局限于2015年之前(数字金融总体水平较低)与2016年之后(数字金融快速普及期)分别进行回归,得到的结果印证了上述结论:前一子样本中数字金融系数为正值且显著,后一子样本中的数字金融系数则转为负值且显著,进一步增强了结论的稳健性。
4研究结论和建议
4.1结论
第一,数字金融发展对影子银行规模的影响既非单纯促进,也非单纯抑制,而是存在阶段性差异。在数字金融发展水平较低阶段,数字金融作为金融供给侧的有效补充,能够显著推动影子银行规模扩张;但当数字金融发展到一定水平后,进一步发展有助于将资金引向受监管的正规渠道,从而抑制影子银行规模的扩张。第二,合理管控数字金融发展节奏对防范影子银行风险至关重要。如果数字金融发展过快而监管滞后,就可能导致影子银行风险积聚;反之,随着监管体系的完善和数字金融逐渐融入主流体系,数字金融将成为解决影子银行问题的有力工具。第三,各地区数字金融与影子银行的关系可能因区域发展差异而不同。对于数字金融发展水平尚处于初级阶段的地区,应特别警惕其伴随的影子银行膨胀风险;在数字金融高度发达的地区,更应关注数字金融业务规范化,严防风险反弹。
4.2建议
基于上述结论,本文提出如下建议:第一,监管部门应实施差异化的数字金融监管策略,针对数字金融发展尚未成熟、影子银行易发的地区,强化监管沙盒试点和风险预警,防止数字金融创新变异为监管套利工具;在数字金融快速发展阶段,应及时完善制度框架,将新兴金融业态纳入宏观审慎监管范围,填补监管真空地带[4]。第二,大力发挥数字金融在普惠金融中的积极作用,从根源上减少对影子银行的需求。在政策上,应继续鼓励持牌金融机构运用金融科技拓展服务边界,通过大数据风控、线上信贷等手段覆盖更多中小微企业和偏远地区客户。当正规金融服务可及性提升、融资成本下降时,企业和民众将更倾向于通过正规渠道获取金融服务,从需求侧压缩影子银行的生存空间。第三,完善影子银行的监测治理机制。在全球范围内,影子银行问题具有跨市场传染性。在数字化时代,要创新监管工具,对各类数字金融交易和资管产品实施穿透式监测,及时发现具有影子银行特征的跨机构、跨市场链条,建立数字金融与影子银行风险的联动评估模型,动态评估数字金融发展对系统性风险的影响[5]。总之,既要“开正门”支持金融科技赋能实体经济,也要“堵偏门”筑牢监管防线。
5结束语
数字金融的飞速发展给金融业带来了巨大影响,也对影子银行治理提出了新的要求。研究表明,数字金融发展与影子银行规模的关系并非简单线性关系:数字金融发展初期拓宽了影子银行的融资渠道,使影子银行规模扩大;当数字金融发展迈入成熟阶段,其对影子银行规模的扩张效应逐渐减弱并转为抑制,体现出显著的门槛特征。面对新形势,监管部门需要继续秉持审慎包容的监管理念,通过制度创新和技术赋能,实现对数字金融活动的有效监管,将影子银行风险化解于萌芽状态。
主要参考文献
[1]黄益平.金融改革的经济学分析[J].新金融,2020(5):4-10.
[2]沈伟.数字经济时代的金融监管难题和技治主义方案[J].上海经济研究,2024(5):99-115.
[3]邵之晗,赵胜民,屠堃泰.数字金融、银行竞争与流动性创造[J].国际金融研究,2024(4):63-74.
[4]王瑶,黄贤环.数字金融发展与非金融企业影子银行化[J].商业研究,2023(5):142-152.
[5]田野,胡文涛.数字金融发展、影子银行消弭与系统性风险防范[J].当代经济管理,2024(12):87-96.