基于工业物联网的企业智慧物流集成管理平台设计论文
2025-10-20 11:51:00 来源: 作者:xuling
摘要:传统物流管理平台存在信息处理滞后、数据孤岛及智能化不足等问题,难以满足市场对高效、智能、协同物流的需求。具体而言,信息处理滞后源于系统架构落后、数据处理能力不足及信息传递渠道不畅。
[摘要]传统物流管理平台存在信息处理滞后、数据孤岛及智能化不足等问题,难以满足市场对高效、智能、协同物流的需求。具体而言,信息处理滞后源于系统架构落后、数据处理能力不足及信息传递渠道不畅。数据孤岛则因系统接口不兼容、数据标准不统一及信息共享机制缺失而形成。智能化水平不足则由算法和技术滞后、智能化应用场景缺乏及人才储备不足所致。针对上述问题,本文提出基于工业物联网的企业智慧物流集成管理平台设计。硬件设计上,选择u-blox-NEO-6M型号的GPS定位模块;由ALH-9000电子标签和R420读写器组成RFID射频模块。软件设计上,采用GPS技术完成物流车辆定位监控;基于工业物联网中的RFID射频识别技术完成货物出入库管理。软硬件结合实现企业智慧物流集成管理。测试结果表明,管理平台在功能方面达到了预期的设计要求,具备上线和推广的基础。
[关键词]工业物联网;企业智慧物流;物流管理;集成管理;管理平台
0引言
随着市场需求的快速变化及消费者对服务品质要求的不断提升,传统物流模式已经无法满足时代发展的需求,迫切需要引入先进信息技术手段进行革新。在此背景下,企业智慧物流集成管理平台应运而生,旨在通过数字化、网络化和智能化手段,实现物流流程的优化与重塑,提高物流运作效率,降低运营成本,并增强供应链的透明度和响应速度。其中,工业物联网通过传感器、无线通信、云计算和大数据等技术的集成应用,为企业智慧物流集成管理平台的建设提供了强大的技术支持。因此,基于工业物联网的企业智慧物流集成管理平台的设计与开发,不仅是应对物流行业转型升级挑战的重要举措,也是推动物流行业向智能化、高效化、绿色化方向发展的必然趋势。
1企业智慧物流集成管理平台硬件设计
综合考虑企业智慧物流集成管理平台的实际应用需求,本文引入了工业物联网技术,设计出如图1所示的总体硬件架构[1]。

在图1所示的基于工业物联网的物流集成管理平台总体架构中,为了实现物流集成管理功能,GPS定位模块与RFID射频模块至关重要。下面将针对这两个模块的选型进行详细探讨。
1.1 GPS定位模块选型
GPS定位模块是本文设计企业智慧物流集成管理平台的重要组成部分,用于实时追踪物流车辆的位置和状态。在选择GPS定位模块时,需要考虑模块的精度、稳定性、功耗以及兼容性等因素。本文选用了一款高精度、低功耗的u-blox-NEO-6M全球定位模块,其关键技术指标参数如表1所示。

如表1所示,u-blox-NEO-6M全球定位模块凭借其高精度、高稳定性、低功耗以及良好的兼容性,成为本文设计的智慧物流集成管理平台中GPS定位模块的理想选择。
1.2 RFID射频模块组成
在应用工业物联网技术进行企业智慧物流集成管理平台设计时,RFID射频模块是核心组件[2]。RFID射频模块主要由电子标签和读写器两大部分组成,其关键选型与参数设置情况如表2所示。

在本文设计的管理平台中,RFID电子标签作为信息的载体,被附着在货物上,用于存储货物的相关信息,如ID号、名称、数量、生产日期、批次号等。而读写器则负责读取或写入标签上的信息,通过天线发射射频信号,激活标签并与之进行通信,实现数据的交换。
2企业智慧物流集成管理平台软件设计
2.1基于GPS技术的物流车辆定位监控
在本文设计的管理平台中,为了实现物流车辆定位监控,本文依托GPS定位模块,进行搭载该模块的物流车辆经度、纬度、速度等数据采集[3],具体采集流程如图2所示。

如图2所示,平台启动GPS定位模块后,需要进行工作模式、数据输出格式等信息的初始化配置,确保模块正常工作。然后,平台通过特定的NMEA 0183通信协议检查GPS模块是否在线。若模块处于离线状态,则自动进入波特率配置环节,尝试不同的波特率设置直至模块成功建立连接并返回在线状态。一旦GPS模块在线,平台进入主循环,通过串口1持续监听并接收来自该模块的原始定位数据。这些数据通常以NMEA GPRMC语句的形式呈现,包含日期、位置、速度等信息。采集到物流车辆的GPS定位数据后,通过GPRS/GSM网络实时传输至远程控制中心。该中心接收到数据后,在用户界面的液晶屏上直观展示车辆的实时位置、历史轨迹等信息,以此实现物流车辆的定位监控。
2.2基于RFID射频识别技术的货物出入库管理
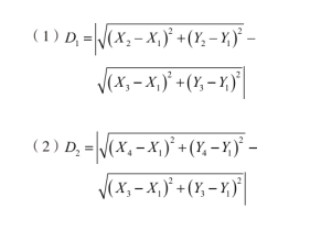
为了实现货物出入库管理,本文引入工业物联网中的RFID射频识别技术[4]。具体来说,在货物入库环节,需要为各个货物分配并粘贴RFID标签,标签中预先录入货物的基本信息,如ID号、名称、数量等。当货物被运送到入库区域时,安装在货架或传送带上的RFID读写器自动启动,利用射频信号定位并读取货物上的标签信息。这些信息通过无线网络传输至数据处理单元,经过校验与处理后,录入本文的管理平台,同时更新库存数据库,完成货物的入库登记。在出库环节,用户通过该平台的用户交互界面提交出库请求,指定需出库货物的ID或名称等信息。此时平台根据出库指令,在库存数据库中检索对应货物的位置信息。本文采用基于RFID阅读器到标签达到时间的定位算法(TOA),通过测量读写器发射信号到标签响应的时间差,结合读写器与标签之间的已知距离关系,计算货物的精确位置[5],具体表达式如下式所示:


式中,D1、D2、D3分别表示RFID读写器1、读写器2、读写器3与货物上电子标签之间的距离;(X1,Y1)表示待定位的RFID电子标签的位置坐标;(X2,Y2)、(X3,Y3)、(X4,Y4)分别表示RFID读写器1、读写器2、读写器3的位置坐标。如上式所示,为提升RFID定位识别的精度,本文根据三个读写器与货物上电子标签之间的距离,确定标签所在实际位置。定位成功后,平台控制仓库内的自动化设备(如搬运机器人、自动传送带)将货物运送到出库区域,完成出库操作。总之,RFID技术作为一种非接触式的自动识别技术,通过无线电波在读写器与标签之间传输数据,无需人工干预即可完成对货物的快速识别与追踪,进而实现企业智慧物流集成管理。
3平台测试
3.1测试准备
为了检验本平台设计的正确性和成果,本章将展开平台功能测试。检验基于GPS技术的物流车辆定位监控功能与基于RFID射频技术的货物出入库管理功能是否可用且完善。为确保企业智慧物流集成管理平台测试环节达到预期的测试效果,配置如表3所示的测试环境。

3.2 GPS定位功能测试
在设计基于GPS技术的物流车辆定位监控功能测试时,在测试城市中规划一片包括多个投送点的测试区域,并配置一辆装有GPS定位模块的物流车辆,按照预设轨迹在测试区域内行驶。并启动GPS定位功能,通过所设计的平台监控车辆的实时位置与移动轨迹,记录并保存监控轨迹,如图3所示。

从图3可知,设计平台下物流车辆定位监控轨迹和预设轨迹基本一致,表明平台的GPS定位功能准确可靠。在某些复杂路况或信号较弱区域,出现了少量异常定位点,导致定位轨迹出现一定偏差,这可能是由GPS信号受到建筑物遮挡或电磁干扰导致的。在平台正式上线前,可以在这些区域增加信号增强设备或优化GPS模块配置,用来提高设计平台定位监控精度。
3.3 RFID射频识别功能测试
在出入库管理功能测试中,将某100m×100m的物流企业仓库作为测试区域,将该测试区域划分为100个10m×10m的单元格,控制带有RFID标签的货物依次经过单元格,由读卡器进行标签信号识别与记录,如果平台没有记录标签ID号,说明该单元格内没有信号,以此验证平台对带有标签货物出入库的识别情况。在本次测试中,为避免测试结果的偶然性,每个单元格测试4次,具体测试结果如图4所示。

在平台测试中,RFID射频识别功能的测试标准是:只要单元格内出现“无信号”情况,即可将该单元格视为射频信号无效识别的单元格。因此,根据上图所示标签信号分布情况,可以计算出RFID射频信号的识别率高达98%。由此说明,在设计平台下,货物在出入库过程中能够始终处于射频信号覆盖范围内,进一步验证了RFID射频识别功能的可靠与完善。
4结束语
本文设计并实现了基于工业物联网的企业智慧物流集成管理平台。通过集成GPS定位技术和RFID射频技术,平台实现了物流车辆的定位与货物的出入库管理,提高了物流管理的效率和准确性。测试结果表明,平台具有可靠且实用的功能,能够为企业智慧物流的发展提供有力的支持。展望未来,本研究将继续深化平台功能,探索人工智能、区块链等新兴技术在智慧物流中的应用,进一步优化物流流程,提升物流服务的智能化水平。同时,将加强跨行业合作,推动智慧物流平台在更多领域的广泛应用,为物流行业的可持续发展贡献力量。
主要参考文献
[1]杨甜.基于物联网技术的皮革制造业物流管理系统设计与实现[J].中国皮革,2023,52(9):42-44,48.
[2]时国龙,沈心怡,辜丽川,等.面向智慧农业的无芯片射频跨域感知研究进展[J].农业工程学报,2023,39(7):10-23.
[3]成启明.基于物联网技术的中小型饲料企业现代仓储信息系统构建[J].中国饲料,2022(18):131-134.
[4]祝培源,张改梅,孙柏青,等.基于RFID的中药材物流仓储智能化管理系统设计与应用[J].包装工程,2024,45(5):212-219.
[5]蔺赟.RFID技术在饲料物流仓储中的应用研究[J].中国饲料,2022(1):139-142.