生产车间空气中的二硫化碳溶剂解吸二乙胺分光光度法的研究论文
2026-02-11 15:28:17 来源: 作者:xuling
摘要:采用二乙胺分光光度法测定生产车间工人工作场所空气中的二硫化碳,为了使测定结果更加准确,符合实际情况,对比分析不同纯度的解析液苯、不同纯度的95%乙醇溶液和不同品牌的盐酸二乙胺对检测结果的影响。
摘要:采用二乙胺分光光度法测定生产车间工人工作场所空气中的二硫化碳,为了使测定结果更加准确,符合实际情况,对比分析不同纯度的解析液苯、不同纯度的95%乙醇溶液和不同品牌的盐酸二乙胺对检测结果的影响。结果表明:采用优级纯苯作为解析液、分析纯95%乙醇溶液和分析纯盐酸二乙胺作为检测试剂,更贴合标准中对空白吸光度的具体要求,能够保证检测结果的准确性和可靠性。
关键词:二乙胺分光光度法;二硫化碳;检测方法
0引言
二硫化碳(CS2)作为一种在化学工业中常见的原料,在众多工业生产领域中扮演着重要的角色,被广泛应用于人造纤维、杀虫剂、人造棉、人造毛、玻璃纸、卡占胶薄膜、橡胶、海绵和光学玻璃等的生产过程中。尤其是在粘胶纤维制造企业中,工人们常常需要在含有二硫化碳的环境中工作。然而,二硫化碳对人体和环境都具有一定的危害性,长期暴露于二硫化碳环境中,可能会引发慢性中毒,对人体健康造成严重影响。
鉴于此,准确、及时地测定生产车间工人工作场所空气中的二硫化碳体积浓度显得尤为重要。二乙胺分光光度法作为一种分析方法,因其灵敏度高、准确度高和重现性好而被广泛应用于二硫化碳的测定。本文将深入探讨国家职业卫生标准中关于生产车间工人工作场所空气中二硫化碳的测定方法,特别是利用二乙胺分光光度法对低浓度空气样品进行测定,以满足标准限值的要求,为监测工作场所空气中的二硫化碳含量提供更为准确、可靠的手段,从而更好地保障工作人员的健康和安全,同时,也有助于环境的可持续发展。
1材料与方法
1.1原理
在本研究中,空气样本中的二硫化碳通过活性碳管进行采集,并采用苯作为解吸剂。解吸后的二硫化碳与二乙胺及铜离子发生化学反应,生成黄棕色的二乙氨基二硫代甲酸铜复合物。通过分光光度计在435 nm波长下测定其吸光度,进而实现对二硫化碳的定量分析。
1.2实验用仪器、试剂
实验用仪器包括岛津UV-2550紫外可见光分光度计、C1500防爆大气采样器(北京和润科技)、M-30电子皂膜流量计(Defender)和活性碳管(100/50 mg)。
实验用试剂包括分析纯(AR)苯、优级纯(GR)苯、95%分析纯(AR)乙醇、95%优级纯(GR)乙醇和氨水(密度为0.9 g/mL)。
显色剂:0.2 g盐酸二乙胺溶于20.0 mL硫酸铜乙醇溶液和0.4 mL氨水中,用乙醇稀释至100 mL。
硫酸铜乙醇溶液:0.01 g硫酸铜溶于20 mL水,用乙醇稀释至100 mL。
二硫化碳标准溶液的制备:在5 mL的容量瓶中,先加入约2 mL的苯,然后,使用气密式微量注射器精确地注入特定量的二硫化碳,并用苯稀释至刻度线。根据加入的二硫化碳量计算出溶液的质量浓度,得到标准贮备液。将此贮备液存放在冰箱中。使用前,需将标准贮备液用苯稀释质量浓度为50.79μg/mL的二硫化碳标准溶液。
1.3分析步骤
1.3.1绘制标准曲线
取8只具塞比色管,依次加入0.00、0.04、0.1、0.2、0.3、0.4、0.5 mL的二硫化碳标准溶液,并用苯补充至0.5 mL,制备成质量浓度分别为0、4.06、10.16、20.32、30.47、40.63、50.79μg/mL的二硫化碳标准系列。随后,向每个比色管中加入4.5 mL显色剂,充分摇匀后静置15 min。在435 nm波长下测定吸光度,并以测定的吸光度值为纵坐标、相应的二硫化碳质量浓度(μg/mL)为横坐标绘制标准曲线。
1.3.2样品测定
将采过样的前、后两段活性碳倒入溶剂解吸瓶中,各加5.0 mL苯,解吸30 min,不时振荡。取0.5 mL样品溶液,置于具塞比色管中,加4.5 mL显色液,摇匀,供测定。
现场采样按照GBZ 159—2004《工作场所空气中有害物质监测的采样规范》[1]执行。
在采样点,打开活性碳管的两端,以200 mL/min流量采集15 min空气样品。采样后,立即封闭两端,置于清洁容器内运输和保存。样品在冰箱内可保存7 d。解吸后应尽快测定。
2结果与分析
2.1不同纯度解析液苯的对比
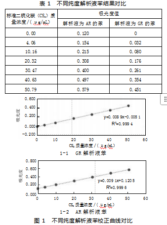
取14根空白活性碳管,制备成0.00、4.06、10.16、20.32、30.47、40.63、50.79μg/mL的二硫化碳活性碳管。分别用分析纯(AR)、优级纯(GR)的苯进行解析,使用分析纯(AR)95%乙醇配制的显色剂、国药集团化学试剂有限公司提供的盐酸二乙胺进行检测分析。实验结果如表1、图1所示。

研究发现,以CR解析液苯作为空白点所测得的吸光度值显著低于AR解析液苯的吸光度值,其空白点表现出无色透明的特性,吸光度值为零,这表明其对光的吸收几乎可以忽略。此外,从实验数据中可以观察到,两种纯度不同的苯解析液所绘制的校正曲线灵敏度相近。
2.2不同纯度乙醇配制的显示剂的对比
取14根空白活性碳管,制备成0.00、4.06、10.16、20.32、30.47、40.63、50.79μg/mL的二硫化碳活性碳管,分别用分析纯(AR)和优级纯(GR)的95%乙醇配制显示液,以优级纯(GR级)苯作为解析液,使用国药试剂的盐酸二乙胺进行检测分析。实验结果如表2所示。

研究结果表明,乙醇的纯度对空白点的吸光度值并无显著影响。在进行相关实验时,乙醇纯度这一变量不会对实验结果产生干扰,从而保障了实验数据的精确性和可信度。
2.3不同盐酸二乙胺的对比
取14根空白活性碳管,制备成0.00、4.06、10.16、20.32、30.47、40.63、50.79μg/mL的二硫化碳活性碳管,分别使用阿拉丁和国药的分析纯(AR)盐酸二乙胺配制试剂、优级纯苯解析液以及分析纯95%乙醇配制的显示剂进行检测分析。实验结果如表3所示。

研究结果表明,不同品牌的盐酸二乙胺对空白点的吸光度值并无显著影响。在进行相关实验时,盐酸二乙胺这一变量不会对实验结果产生干扰,从而保障了实验数据的精确性和可信度。
3结论
本项研究通过对比分析不同纯度的解析液苯、乙醇溶液以及不同品牌的盐酸二乙胺,旨在揭示其对实验数据的影响。研究结果显示,采用GR级苯作为解析液,以及利用分析纯(AR)95%乙醇溶液和AR级盐酸二乙胺作为检测试剂,能够显著降低空白点的吸光度值。此方法不仅满足了实验精确性的需求,而且与GBZ/T 300.38—2017《工作场所空气中有毒物质测定第38部分:二硫化碳》中二硫化碳的溶剂解吸-二乙胺分光光度法对空白吸光度的严格要求相一致,从而保障了检测结果的精确度和可信度。
参考文献
[1]中华人民共和国卫生部.工作场所空气中有害物质监测的采样规范:GBZ 159—2004[S].北京:人民卫生出版社,2004.